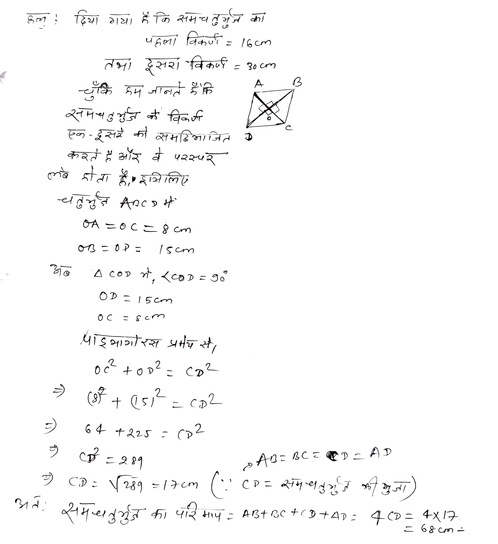
8. एक समचतुर्भुज के विकर्ण 16cm तथा 30 cm हैं। इसका परिमाप ज्ञात कीजिए।

Er Chandra Bhushan
0

 




Post a Comment

0 Comments
Post a Comment (0)
Our website uses cookies to enhance your experience. Learn More
Accept !